五、相似变换

[相似变换] 如果有一非奇异矩阵X(即det X¹ 0)使得

B= AX

那末称矩阵A与矩阵B相似,也称A经相似变换化为B,记作A~ B.它具有下列性质:

A~ A,At ~ A.

A~ B,B~ A.

A~ C,B~ C,A~ B.

(A1+ A2+...+ Am)X=A1X+A2X+ ...+AmX

AmX=(AX)m

为矩阵A的多项式,则

X=

A~ B,则

AB的秩相同,即rank A=rank B.

AB的行列式相同,即det A=det B.

AB的迹(定义见本节,七)相同,即tr A=tr B.

AB具有相同的特征多项式和特征值(本节,七).

[正交变换] 若Q为正交矩阵(即=Qt ,则称

Qt AQ

为矩阵A的正交变换,其性质与相似变换类似.特别还有性质:

对称矩阵A经正交变换后仍是对称矩阵.

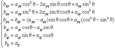
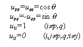
[旋转变换] 取正交矩阵U

Upq=(uij)=

这时称

B=

A的旋转变换,q 称为旋转角,如果A是对称矩阵,那末B的元素bijA的元素aij

如下对应关系:

同时有性质:

=

若取旋转角

则旋转变换使